[AI/ML] 다중 선형 회귀
PyTorch를 이용한 다중 선형 회귀 구현 방법을 소개합니다. 행렬 연산으로 여러 입력 변수를 효율적으로 처리하고, 경사하강법으로 최적화하는 과정을 다룹니다.
개요
AI에 대한 기초를 다시 정리하고자 아래 내용을 읽고 정리했습니다.
다중 선형 회귀(Multivariable Linear Regression)
<단순 선형 회귀 차이>
현실 세계에서는 하나의 요소만 결과에 영향을 주지 않습니다. 즉 다양한 요소가 예측에 영향을 주게 되는데 이처럼 여러 입력을 사용하는 것을 다중 선형 회귀라고 표현합니다.
수식은 선형 회귀와 유사합니다. 각 요소별로 가중치(w)가 붙으며 입력되는 변수의 개수에 따라 확장됩니다.
H(x) = w₁x₁ + w₂x₂ + w₃x₃ + ... + b
기본 구현 (변수 개별 선언)
<기본 설정>
import torch
import torch.nn as nn
import torch.nn.functional as F
import torch.optim as optim
torch.manual_seed(1)
<x1_train, x2_train, x3_train / w1, w2, w3 개별 선언>
훈련 데이터 입력시 x가 1,000개라면 x1_train, x2_train, ... x1000_train , w도 w1, w2, … , w1000으로 작성해야하는 불편함이 존재합니다. 문제를 해결하기 위해 Pytorch에서는 행렬 곱셈 연산을 사용할 수 있습니다.
즉 변수가 많아지면 불편합니다.
# 훈련 데이터
x1_train = torch.FloatTensor([[73], [93], [89], [96], [73]])
x2_train = torch.FloatTensor([[80], [88], [91], [98], [66]])
x3_train = torch.FloatTensor([[75], [93], [90], [100], [70]])
y_train = torch.FloatTensor([[152], [185], [180], [196], [142]])
# 가중치 w와 편향 b 초기화
w1 = torch.zeros(1, requires_grad=True)
w2 = torch.zeros(1, requires_grad=True)
w3 = torch.zeros(1, requires_grad=True)
b = torch.zeros(1, requires_grad=True)
<행렬 연산으로 개선하기>

H(x) = w₁x₁ + w₂x₂ + w₃x₃
행렬을 통해 표현하면 x가 몇 개든간에 X라는 변수 하나와 W라는 변수 하나로 표현할 수 있게 됩니다.
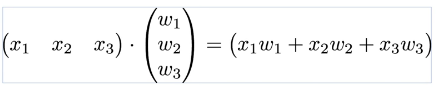
전체 훈련 데이터에서 셀 수 있는 1개의 단위를 샘플(sample)이라고 합니다. 각 샘플에서 y를 결정하게 하는 독립 변수(x) 하나하나를 특성(feature)라고 합니다. X 변수를 정의할 때 (샘플의 수 x 특성의 수)를 사용합니다. 원본 예시에서 Quiz 1, 2, 3과 5개의 샘플 데이터가 있다면 흔히 (5 x 3) 아래 이미지처럼 표현 가능합니다. 여기에 가중치(w)를 곱하고 편향을 추가하면 X, W, B변수 3개로 다중 선형 회귀의 가설 연산을 표현 가능합니다.

예시는 다음과 같습니다.
# 샘플 데이터
x_train = torch.FloatTensor([[73, 80, 75],
[93, 88, 93],
[89, 91, 80],
[96, 98, 100],
[73, 66, 70]])
y_train = torch.FloatTensor([[152], [185], [180], [196], [142]])
# 가중치와 편향 선언
W = torch.zeros((3, 1), requires_grad=True)
b = torch.zeros(1, requires_grad=True)
optimizer = optim.SGD([W, b], lr=1e-5)
곱셈은 다음과 같습니다. 다만 곱셈 좌측의 행렬 열 크기와 곱셈 우측 행렬 행 크기가 일치해야 합니다.
- (5×3) @ (3×1) = (5×1) →
matmul
hypothesis = x_train.matmul(W) + b
이후의 계산은 선형 회귀와 동일합니다.
# H(x) 계산
hypothesis = x_train.matmul(W) + b
# cost 계산(오차)
cost = torch.mean((hypothesis - y_train) ** 2)
# cost로 H(x) 개선
optimizer.zero_grad() # -> 현재 기울기 초기화
cost.backward() # -> 오차를 미분해서 기울기 계산
optimizer.step() # -> W, b 업데이트
다중 선형 회귀 한계점
다중 선형 회귀 역시 한계점이 존재합니다. 만약 두 개의 독립 변수 x1, x2가 같이 움직인다면 둘 중 뭐가 진짜 영향을 주는 건지 구분하지 못하는 다중공선성 문제가 발생합니다.
또한 비선형 관계를 표현 할 수 없어 곡선이거나 복잡한 패턴이면 정확한 예측에 한계가 존재합니다.